chester20080
Επιφανές μέλος
Ο Μπάμπης αυτή τη στιγμή είναι συνδεδεμένος. Είναι 30 ετών και επαγγέλλεται Η.Μ.Μ.Υ.. Έχει γράψει 9.084 μηνύματα.
26-03-24
23:52
τρομακτικά τα δύο πρώτα ευρήματα, την κάτσαμε άσχημα από νευρολογικής απόψεως

η νόσηση από covid, ακόμα και απλή οδηγεί σε εκφυλισμό του εγκεφάλου που ισοδυναμεί σε μείωση γνωστικών ικανοτήτων IQ και γήρανση του εγκεφάλου κατά μερικά χρόνια
αυτά τα λένε πρόσφατες έγκριτες έρευνες σε κορυφαία ιατρικά περιοδικά, δεν είναι απόψεις αλλά γεγονότα
juste un instant
Επιφανές μέλος
Ο Βασίλης αυτή τη στιγμή δεν είναι συνδεδεμένος. Μας γράφει από Αφρική. Έχει γράψει 32.874 μηνύματα.
27-03-24
00:58
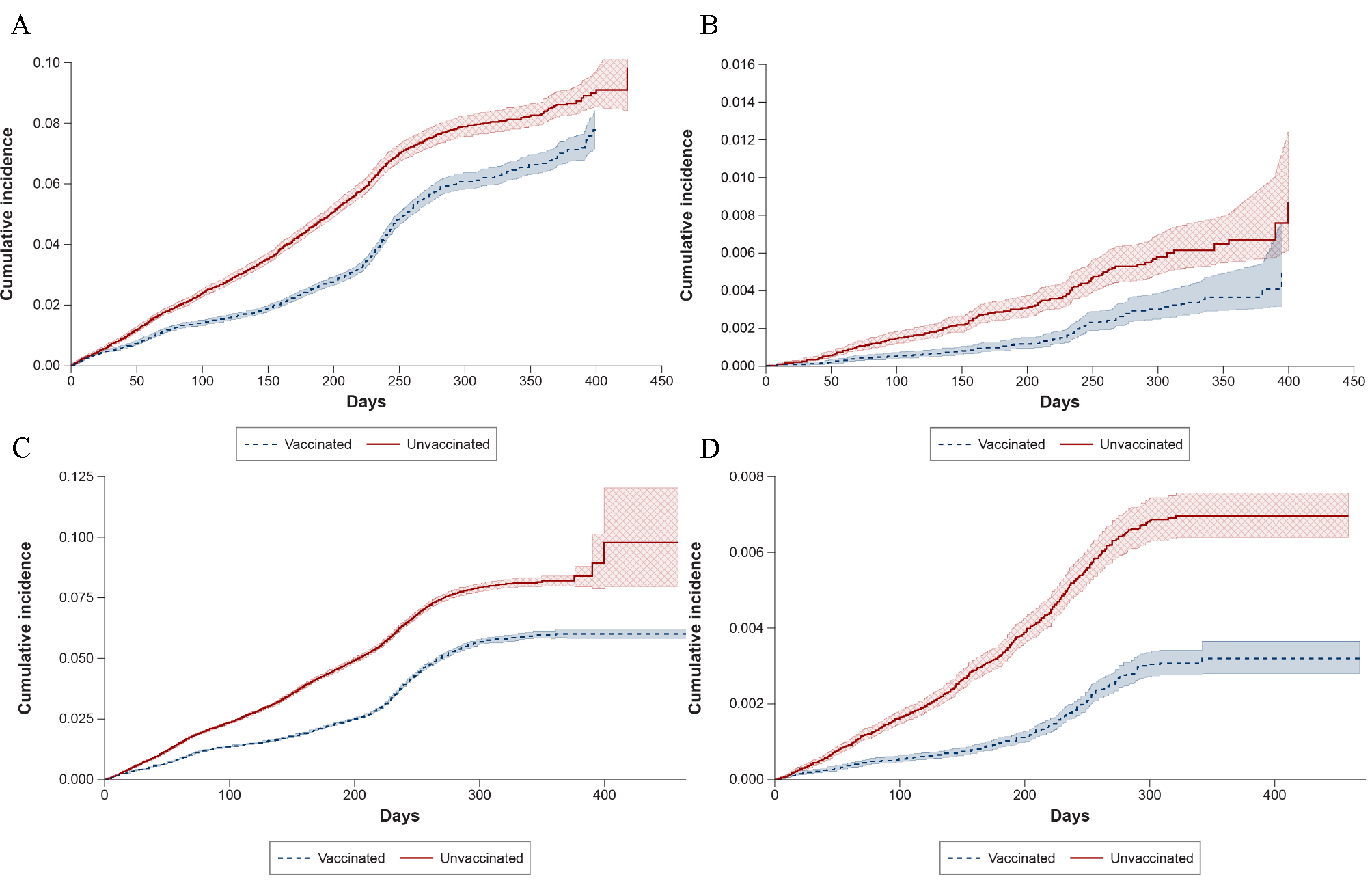
Ενδιαφέρον έχουν και τα υπόλοιπα στην σελίδα του. Βάζω ένα κομμάτι ακόμα.View attachment 131064
τρομακτικά τα δύο πρώτα ευρήματα, την κάτσαμε άσχημα από νευρολογικής απόψεως
η νόσηση από covid, ακόμα και απλή οδηγεί σε εκφυλισμό του εγκεφάλου που ισοδυναμεί σε μείωση γνωστικών ικανοτήτων IQ και γήρανση του εγκεφάλου κατά μερικά χρόνια
αυτά τα λένε πρόσφατες έγκριτες έρευνες σε κορυφαία ιατρικά περιοδικά, δεν είναι απόψεις αλλά γεγονότα
juste un instant
Επιφανές μέλος
Ο Βασίλης αυτή τη στιγμή δεν είναι συνδεδεμένος. Μας γράφει από Αφρική. Έχει γράψει 32.874 μηνύματα.
31-03-24
22:34
Με ποια νοσήματα συνδέονται τα εμβόλια της COVID-19 - Τι έδειξε μελέτη σε 99 εκατομμύρια άτομα για τις παρενέργειες - Giatros-in.gr
Περιορισμένες και εξαιρετικά σπάνιες οι ανεπιθύμητες ενέργειες των εμβολίων της COVID-19, διαπιστώνει νέα μελέτη. Τα αποτελέσματα σχολιάζει ο Καθηγητής Δ.
www.giatros-in.gr
Συμπερασματικά οι κίνδυνοι από τα εμβόλια είναι περιορισμένοι και εξαιρετικά σπάνιοι σε αντίθεση με τα σημαντικά οφέλη τους έναντι της νόσου που σχετίζεται με την λοίμωξη COVID-19, κατέληξε.
juste un instant
Επιφανές μέλος
Ο Βασίλης αυτή τη στιγμή δεν είναι συνδεδεμένος. Μας γράφει από Αφρική. Έχει γράψει 32.874 μηνύματα.
01-04-24
19:18
Cardiovascular risks and COVID‑19: New research confirms the benefits of vaccination
New research confirms that COVID-19 vaccines are safe and effective at reducing the cardiovascular complications that are a hallmark of COVID-19 infection.
juste un instant
Επιφανές μέλος
Ο Βασίλης αυτή τη στιγμή δεν είναι συνδεδεμένος. Μας γράφει από Αφρική. Έχει γράψει 32.874 μηνύματα.
02-04-24
12:27
Συνδυασμένο εμβόλιο γρίπης και CoViD από την Moderna
Έχει καλύτερη ανοσολογική απόκριση από το σημερινό εμβόλιο. Πιο αποτελεσματικό σε άτομα άνω των 65 ετών. Προϋπόθεση o συνδυασμός με το εμβόλιο mRNA | iatronet.gr
juste un instant
Επιφανές μέλος
Ο Βασίλης αυτή τη στιγμή δεν είναι συνδεδεμένος. Μας γράφει από Αφρική. Έχει γράψει 32.874 μηνύματα.
05-04-24
21:28
COVID-19 vaccination as effective for adults with common mental disorders as for those without
A large multi-state electronic health record-based study from the Centers for Disease Control and Prevention’s (CDC’s) VISION Network has found that COVID-19 vaccines are as effective for adults with anxiety or depression or mood disorders as for individuals without these common diagnoses. This...
www.eurekalert.org
Guest 030894
Επισκέπτης
αυτή τη στιγμή δεν είναι συνδεδεμέν. Δεν έχει γράψει κανένα μήνυμα.
05-04-24
21:48
Προστατευονται και οι σχιζοφρενεις δλδ;![]()
COVID-19 vaccination as effective for adults with common mental disorders as for those without
A large multi-state electronic health record-based study from the Centers for Disease Control and Prevention’s (CDC’s) VISION Network has found that COVID-19 vaccines are as effective for adults with anxiety or depression or mood disorders as for individuals without these common diagnoses. This...www.eurekalert.org
juste un instant
Επιφανές μέλος
Ο Βασίλης αυτή τη στιγμή δεν είναι συνδεδεμένος. Μας γράφει από Αφρική. Έχει γράψει 32.874 μηνύματα.
05-04-24
21:50
Προστατευονται και οι σχιζοφρενεις δλδ;
While vaccination provided similar protection regardless of psychiatric diagnosis (none, one or multiple conditions), in contrast, unvaccinated adults with any of these conditions had a higher rate of hospitalization for COVID-19 – a marker for severe disease – than did those without a psychiatric diagnosis.
ilias90
Περιβόητο μέλος
Ο White Privilege αυτή τη στιγμή δεν είναι συνδεδεμένος. Είναι 35 ετών. Έχει γράψει 5.652 μηνύματα.
05-04-24
21:54
Άμα κρίνω από νέα άτομα που βλέπω και φοράνε κινεζοφίμωτρο ακόμα, όντως πρέπει να ρίχνει το iq ο κόβιντ.View attachment 131064
τρομακτικά τα δύο πρώτα ευρήματα, την κάτσαμε άσχημα από νευρολογικής απόψεως
η νόσηση από covid, ακόμα και απλή οδηγεί σε εκφυλισμό του εγκεφάλου που ισοδυναμεί σε μείωση γνωστικών ικανοτήτων IQ και γήρανση του εγκεφάλου κατά μερικά χρόνια
αυτά τα λένε πρόσφατες έγκριτες έρευνες σε κορυφαία ιατρικά περιοδικά, δεν είναι απόψεις αλλά γεγονότα
Guest 030894
Επισκέπτης
αυτή τη στιγμή δεν είναι συνδεδεμέν. Δεν έχει γράψει κανένα μήνυμα.
05-04-24
22:03
Εγω μασκα στα ΜΜΜ τη περιοδο εξαρσεων γριπων και λοιπων ασθενειων φοραω απο το 2018. Κοροιδευαν οι αλλοι αλλα μια χαρα συμμορφωθηκαν εκεινη τη διετιαΆμα κρίνω από νέα άτομα που βλέπω και φοράνε κινεζοφίμωτρο ακόμα, όντως πρέπει να ρίχνει το iq ο κόβιντ.
ilias90
Περιβόητο μέλος
Ο White Privilege αυτή τη στιγμή δεν είναι συνδεδεμένος. Είναι 35 ετών. Έχει γράψει 5.652 μηνύματα.
05-04-24
22:06
Όχι ρε Ζούκοφ, και σε συμπαθούσαΕγω μασκα στα ΜΜΜ τη περιοδο εξαρσεων γριπων και λοιπων ασθενειων φοραω απο το 2018. Κοροιδευαν οι αλλοι αλλα μια χαρα συμμορφωθηκαν εκεινη τη διετια

Εγώ ούτε εκείνη τη διετία συμμορφώθηκα (πέρα του πρώτου χρόνου, από φόβο για πρόστιμο.) Με φώναζαν δε, υγειονομική βόμβα

juste un instant
Επιφανές μέλος
Ο Βασίλης αυτή τη στιγμή δεν είναι συνδεδεμένος. Μας γράφει από Αφρική. Έχει γράψει 32.874 μηνύματα.
05-04-24
22:28
8000 unvaccinated or partly vaccinated health workers were allowed to keep working
The staff, including hundreds of doctors, were allowed to work through the pandemic because services could not function without them.
There was no sudden jump: vaccination coverage among healthcare workers increased at the same steady rate until it hit more than 95 percent, she said.
chester20080
Επιφανές μέλος
Ο Μπάμπης αυτή τη στιγμή είναι συνδεδεμένος. Είναι 30 ετών και επαγγέλλεται Η.Μ.Μ.Υ.. Έχει γράψει 9.084 μηνύματα.
05-04-24
23:11
τι ειναι το κινεζοφιμωτρο;Άμα κρίνω από νέα άτομα που βλέπω και φοράνε κινεζοφίμωτρο ακόμα, όντως πρέπει να ρίχνει το iq ο κόβιντ.
juste un instant
Επιφανές μέλος
Ο Βασίλης αυτή τη στιγμή δεν είναι συνδεδεμένος. Μας γράφει από Αφρική. Έχει γράψει 32.874 μηνύματα.
24-04-24
23:26
Evaluating the Effectiveness of Monovalent COVID-19 Vaccines in Children and Adolescents
Study by the Centers for Disease Control and Prevention (CDC) explores future directions for pediatric COVID-19 vaccination amid emerging variants.
In conclusion, due to the low frequency of children who received updated COVID-19 vaccines and the waning effectiveness of original monovalent doses, these data support CDC recommendations that all children and adolescents receive updated COVID-19 vaccines to protect against severe COVID-19.
juste un instant
Επιφανές μέλος
Ο Βασίλης αυτή τη στιγμή δεν είναι συνδεδεμένος. Μας γράφει από Αφρική. Έχει γράψει 32.874 μηνύματα.
26-04-24
21:51
Effectiveness of BNT162b2 COVID-19 primary series vaccination in children aged 5–17 years in the United States: a cohort study - BMC Pediatrics
Background COVID-19 vaccines are authorized for use in children in the United States; real-world assessment of vaccine effectiveness in children is needed. This study’s objective was to estimate the effectiveness of receiving a complete primary series of monovalent BNT162b2 (Pfizer-BioNTech)...
Conclusions
Receipt of a complete BNT162b2 vaccine primary series was associated with overall reduced medically diagnosed COVID-19 and hospital/ED–diagnosed COVID-19 in children; observed VE estimates differed by age group and variant era.
juste un instant
Επιφανές μέλος
Ο Βασίλης αυτή τη στιγμή δεν είναι συνδεδεμένος. Μας γράφει από Αφρική. Έχει γράψει 32.874 μηνύματα.
28-04-24
18:15
COVID-19 vaccination as effective for adults with common mental disorders as for those without - Regenstrief Institute
Unvaccinated individuals with mental illness have higher rate of hospitalization INDIANAPOLIS – A large multi-state electronic health record-based study from the Centers for Disease Control and Prevention’s (CDC’s) VISION Network has found that COVID-19 vaccines are as effective for adults with...
Wonderkid
Διακεκριμένο μέλος
Ο Wonderkid αυτή τη στιγμή δεν είναι συνδεδεμένος. Είναι 23 ετών, επαγγέλλεται Φοιτητής/τρια και μας γράφει από Αθήνα (Αττική). Έχει γράψει 6.827 μηνύματα.
28-04-24
20:39
Πέθανε ο μακροβιότερος ασθενής με COVID - Υπέφερε για 613 μέρες και πέρασε 50 μεταλλάξεις | in.gr
Πρόκειται για το μεγαλύτερο χρονικό διάστημα που έχει μολυνθεί κάποιος με τον ιό
ΕΟΔΥ: Έξι θάνατοι από covid-19 και έξι διασωληνωμένοι - Ένα σοβαρό κρούσμα γρίπης
Μικρή αύξηση καταγράφει η θετικότητα του κορωνοϊού στην κοινότητα, την εβδομάδα 15-21 Απριλίου, σύμφωνα με την επιδημιολογική έκθεση του ΕΟΔΥ.
Αυτόματη ένωση συνεχόμενων μηνυμάτων:
Τα νούμερα πλέον απίστευτα χαμηλά του ιού σε διασωληνώσεις και θανάτους
Πουπουλίνα
Επιφανές μέλος
Η Πουπουλίνα αυτή τη στιγμή δεν είναι συνδεδεμένη. Επαγγέλλεται Ζωγράφος και μας γράφει από Κόρινθος (Κόρινθος). Έχει γράψει 33.495 μηνύματα.
28-04-24
21:05
ΟΚ το οτι εσυ δεν συμμορφωθηκες...Όχι ρε Ζούκοφ, και σε συμπαθούσα
Εγώ ούτε εκείνη τη διετία συμμορφώθηκα (πέρα του πρώτου χρόνου, από φόβο για πρόστιμο.) Με φώναζαν δε, υγειονομική βόμβα![]()
δεν καθιστα αυτους που φορανε μασκα ακομα και τωρα ανωμαλους(σημειωση εγω δεν φοραω) Λιγο ξεκαβαλα.Το οτι καποιος μπορει να φοβαται για τον χ ..ψ λογο...μπορει να ειναι και ομαδα υψηλου κινδυνου..καν δεν σου περασε απο το μυαλο..ή να εχει συγγενεις που ΟΦΕΙΛΕΙ να προστατευσει..δεν τους καθιστα ανωμαλους ουτε σου δινει το δικαιωμα να τους χλευαζεις/
ΕΞΑΙΡΕΤΙΚΟΣ ΧΡΙΣΤΙΑΝΟΣ ΕΙΣΙΑ ΟΠΩΣ ΠΑΝΤΑ/.
Αυτόματη ένωση συνεχόμενων μηνυμάτων:
Τη μασκα εννοει.Ζει αναμεσα μας.τι ειναι το κινεζοφιμωτρο;
Χρήστες Βρείτε παρόμοια
-
Τα παρακάτω 0 μέλη και 15 επισκέπτες διαβάζουν μαζί με εσάς αυτό το θέμα:Tα παρακάτω 641 μέλη διάβασαν αυτό το θέμα:
- charmander
- chester20080
- michaela888
- johnsala
- User2350
- zoed
- camil
- touvlo
- Scandal
- Sotiris 12
- Kafkinos
- many of Filip
- Libertus
- Wonderkid
- fmarulezkd
- Paragontas7000
- AggelikiGr
- taketrance
- Memetchi
- giannhs2001
- Kate1914
- Searching
- fockos
- Hased Babis
- Entropy24
- Ωρορα
- Vera
- Sosstoss
- Ilma
- American Economist
- back2967
- Μήτσος10
- giorgos5002
- rafaela11
- Unboxholics
- Αλκίμαχος
- bibliofagos
- iew
- Drscientist
- Giannismsn
- foxypup
- AN.PA
- Obi-Wan Kenobi
- Steven s
- Giorgkalo
- KGGS
- eukleidhs1821
- GeorgePap2003
- gademis
- A350
- teacher_40
- fourkaki
- Αντικειμενικός
- Jack of Spades
- ghоul
- Joji
- synthnightingale
- linuxman
- Dr. Gl. Luminous
- еще один пророк р...
- Εριφύλη
- sixsixtysix
- Μαυρίκιος
- Γατέχων
- J.Cameron
- Maraki_lar_1980
- dmav
- Fernando_A
- phleidhs
- Antonia Alexandra
- chris91
- afantos
- marww
- jj!
- Ριουλα
- Dark_kronos
- lugar
- Indiana Jones
- Alessandra Eliza
- epote
- Δροσουλίτης
- Jim175
- MarcoReus
- Shadowban
- Στεφανος56
- Helen06
- Τodoroki
- PinkButterfly
- Maraki4you
- bigthor
- Ness
- Abiogenesis
- tsiobieman
- kalhkardia
- arko
- lepipini
- Metalhead_4_life
- Galini66
- Helen93
- Roulaki
- spring day
- ΘανάσοςG4
- vasilikileo1988
- Κλημεντίνη
- qwertyuiop
- ggl
- Εχέμυθη
- giorgos78
- ΛΑΡΑ7427
- Sevasti
- Meow
- Johnny15
- fretoe
- ΕυηΞ
- xristarac
- Citylights
- Ariana2018
- Γιάνννης Δ.
- Nina-nana
- Gpl37
- dimitra38
- Stres
- Αναστασία197
- louminis
- Freddys
- parrot/παπαγάλος
- Lathy
- Kassiopi
- Natalia143
- oups
- alexd99
- Ryuzaki
- ag97
- epan
- Cookie_Monster
- nicks1999
- bruh_234
- Lia 2006
- ]ifrit[
- JasonPap
- Giii
- don't touch
- Unseen skygge
- ougka pougka
- Dreamer_SW
- Nikoleta93
- Mt73
- m.kannavia3
- Stefania Geo
- hirasawayui
- Αρίκος
- vaspan
- Idontknoww
- johnietraf
- panamixagr97
- makis999
- 1011
- Jimmy20
- korlef
- Asterias21
- Selfcare
- Venom17
- Ismhnhpapa
- Therapeftis
- μανολης_
- l0garithm
- Alexandra Chatzin
- George9989
- L0st
- Appolon
- ΨΑΡΑΚΙ1993
- prinCess.
- chris2799
- ioannam
- SweetGirl
- dragonmind
- Agisilaos
- Αλκης Κ.
- Nickx
- ana.roi
- Atarax
- sofoula2430
- litsa2
- king_sotirios
- Stelios725
- CiNeFiL
- Viedo
- Lucifers
- VasoGrimes
- SlimShady
- Mhtrogoal
- Γέννηση20
- magdalicious
- tuaculpa:)
- Jocaste
- Γιώργος Ζ
- ΜαρίαΖΤ
- SonGokuUI
- Johnman97
- snowy
- desp1naa
- Dora140303
- aggelosst9
- Andreas542
- sayer
- menual
- GiorgosAsi
- Thundergirl
- Panos_02
- New member
- physicscrazy
- Μαρια30
- Ria99
- PanMoonlight
- What
- Douleutikos
- WhaleOilBeefHooked
- Γατόπαρδος.
- jims
- Machiavelian
- AK-92
- A propos
- kanenas
- T C
- constansn
- xrisamikol
- Φωτεινη Τζα.
- 0rafa0
- nicole1982
- sunsetpp
- edweimaste
- skot
- dimitrisfmf
- JimRav
- οθεσσαλονικιος
- πεταλουδα001
- Tsixris
- Thanasis7
- ιμοτζι
- Nefeli_
- 2Pac
- azula
- Slytherin
- Ροβερτα
- milianis
- tarantula
- Ace of Spades
- kostasidel
- gewrgia0298
- Kyc
- liaiscool
- p4n05
- Sense
- WhiteDrum
- Anna Glamorous
- Earthquake
- Le Champignon
- angelaras24
- romeo
- Chemwizard
- babycat
- jimis2001
- Tangible
- An_uknown_world
- kingkonstas
- Karim10
- Nala
- pacheiko
- TonyMontanaEse
- AaronStone
- gwgw_5
- niknik2002
- Cortes
- Αρχηγος_β3
- igeorgeoikonomo
- orange crush
- anastasis06
- imkindalost
- Blackmyrto
- Glorious26
- Loozen
- Insertcoin
- Rapappas
- provata
- Eua5
- Cupid
- Έμμα
- Ada ada
- Satan Claus
- CoolCowboy
- Elef8eria_Ad
- leo41
- norbit
- Lvh
- Sugarillo
- Freya Goddes
- iminspain
- Javier7
- globglogabgalab
- kiyoshi
- Panagiotis849
- LivingInTheFuture
- Demlogic
- Scott
- Comformist
- Eikosiduos
- EndstationWien
- Tsepeto
- RexkomGr
- Samuel
- Ευθυμος
- giadespoiamilaei
- RudiCaconi
- gregory nub
- Luke.
- orchidea
- Selenium
- IoanGreek
- το κοριτσι του μαη
- McManus
- ilektrakorovesi
- barkos
- Μιτοχονδριο
- malenaaa
- takefive
- Nikos 7
- Forgetit
- nickd
- Trolletarian
- φυσαλίς
- Mike1
- calliope
- riariaki_1990
- billie perrakis
- Mary Jane
- WayfaringStranger
- ιδιοτροπος
- don_vito
- Vindemiatrix
- meroliptiko gidi
- Giannis2307
- me lene
- GeorgiosMS
- Πέτρος Χουχούλης
- Πλάνης
- Awe
- Αναήλ
- GRland.info
- aye
- LeoDel
- Tzav
- konna
- Countdown
- pink_panther
- ManinaK
- Νηματολάγνος
- Liza19
- Dim1234
- Snoopy Doo
- kazlaris1
- Kostas98
- Fin4
- Toumpa
- soti_ko03
- uni77
- Pharmacist01
- Alexandros36k
- Αγάπη_Πλατωνική
- Griff
- Dr.
- Cpt.Philips
- Nikolas77
- ShadowS
- aytismos
- Denexeisidera
- Clio MTX
- elli russu
- gvarth
- Sokratis Mitropoulos
- Χαρουβιάν
- harry akritas
- SuperCandy
- David?
- Στωικος
- Galaxiarch
- kauphy
- Vold
- morpheas32
- Μάρκος Βασίλης
- kogba
- dimospap
- Angelo27
- kastoras
- εξ_άγγελος
- Φρεντος
- Hera167
- old man consequences
- Βλα
- Lydia6902
- anathimatikos
- Αnabell
- MarilynSt
- T20
- Stefanosxios
- Konstantinos_m
- Rene2004
- αιμοσταγές_χαμστεράκι
- yellowdust
- whitelioness
- grtt
- Ν.Χ.
- Μί–Κά-Ἔλ
- konstantinab199
- xzc213
- Pipitsa
- JohnGreek
- Kostis-Palamas
- nucomer
- element skate
- dazed
- Spooky29
- katelogic
- Elena345
- books_dreams_phane
- panagiotis G
- orestis_kritikos
- the impossible
- efi25
- Μορτάκι
- mallllias
- betonieras
- Power-13
- thanasiscb95
- SkyBlu
- jucticeee
- Μπλακ Πητ
- angel of death
- Duela Dent
- panagiotis econ
- "άσχημο_όνειρο"
- tymvorixos
- Σοφία Γιαννιού
- Σπυρακος (^^)
- Trolling Stones
- Μαριλένα__
- Alma
- Hyper_
- Μαρια43
- GoddamnRight
- eleni236
- Yiorgosk
- I_love_life
- darklady80
- star01
- tiktaktik
- κοσμοναύτης
-
Φορτώνει...
-
Το forum μας χρησιμοποιεί cookies για να βελτιστοποιήσει την εμπειρία σας.
Συνεχίζοντας την περιήγησή σας, συναινείτε στη χρήση cookies στον περιηγητή σας.
Αρχική Forum
Νέα Δημοσίευση
Προσωπικές Συζητήσεις
Πολυμέσα - Gallery
Συνδεδεμένοι Χρήστες
Λίστα Αποκλεισμένων
Υπεύθυνοι του Forum
Chat and Fun
iSchool
